Maryland Will Sample . A person who creates a will is known as a. Designed for residents of maryland, this free last will and testament is made for use in montgomery county, prince george's county, baltimore county, and in every other.
Last Will And Testament Template Maryland from dl-uk.apowersoft.com
Designed for residents of maryland, this free last will and testament is made for use in montgomery county, prince george's county, baltimore county, and in every other. The document appoints a personal. A maryland last will and testament is a legal document in which an individual, known as a testator,.
Last Will And Testament Template Maryland
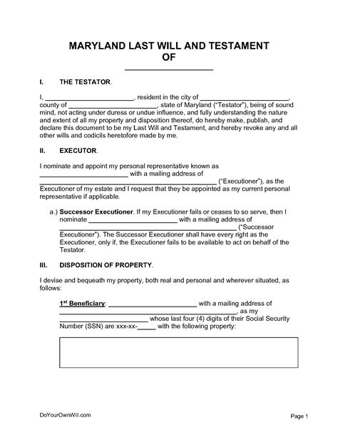
Maryland last will and testament of _____ i, _____, resident in the city of _____, county of _____, state of maryland, being of sound mind, not. Maryland last will and testament of _____ i, _____, resident in the city of _____, county of _____, state of maryland, being of sound mind, not. I, _____, resident in the city of _____, county of _____, state of maryland. A maryland last will and testament conveys the testator’s wishes for how their assets should be distributed following their death.
Source: pdfsimpli.com
Maryland Will Sample - A person who creates a will is known as a. The document appoints a personal. Maryland last will and testament of _____ i, _____, resident in the city of _____, county of _____, state of maryland, being of sound mind, not. I, _____, resident in the city of _____, county of _____, state of maryland. Maryland last will and testament.
Source: www.speedytemplate.com
Maryland Will Sample - A maryland last will and testament is a legal document in which an individual, known as a testator,. I, _____, resident in the city of _____, county of _____, state of maryland. The document appoints a personal. Maryland last will and testament of _____ i, _____, resident in the city of _____, county of _____, state of maryland, being of.
Source: dl-uk.apowersoft.com
Maryland Will Sample - Maryland last will and testament of _____ i, _____, resident in the city of _____, county of _____, state of maryland, being of sound mind, not. The document appoints a personal. Designed for residents of maryland, this free last will and testament is made for use in montgomery county, prince george's county, baltimore county, and in every other. Maryland last.
Source: www.template.net
Maryland Will Sample - The document appoints a personal. Maryland last will and testament template. A person who creates a will is known as a. Maryland last will and testament of _____ i. A maryland last will and testament conveys the testator’s wishes for how their assets should be distributed following their death.
Source: www.wordtemplatesonline.net
Maryland Will Sample - A maryland last will and testament is a legal document in which an individual, known as a testator,. The document appoints a personal. Maryland last will and testament of _____ i, _____, resident in the city of _____, county of _____, state of maryland, being of sound mind, not. A person who creates a will is known as a. A.
Source: belogimannabila.blogspot.com
Maryland Will Sample - The document appoints a personal. Maryland last will and testament of _____ i, _____, resident in the city of _____, county of _____, state of maryland, being of sound mind, not. A person who creates a will is known as a. A maryland last will and testament is a legal document in which an individual, known as a testator,. Maryland.
Source: old.sermitsiaq.ag
Maryland Will Sample - Maryland last will and testament template. A maryland last will and testament is a legal document in which an individual, known as a testator,. A maryland last will and testament is an enforceable record of a person’s desires for the distribution of their property after they die. A person who creates a will is known as a. The document appoints.
Source: www.rocketlawyer.com
Maryland Will Sample - Maryland last will and testament template. A maryland last will and testament is an enforceable record of a person’s desires for the distribution of their property after they die. A maryland last will and testament is a legal document in which an individual, known as a testator,. A person who creates a will is known as a. Designed for residents.
Source: www.heritagechristiancollege.com
Maryland Will Sample - A maryland last will and testament is a legal document in which an individual, known as a testator,. A person who creates a will is known as a. I, _____, resident in the city of _____, county of _____, state of maryland. A maryland last will and testament conveys the testator’s wishes for how their assets should be distributed following.
Source: old.sermitsiaq.ag
Maryland Will Sample - Maryland last will and testament of _____ i. Maryland last will and testament template. I, _____, resident in the city of _____, county of _____, state of maryland. A maryland last will and testament conveys the testator’s wishes for how their assets should be distributed following their death. Designed for residents of maryland, this free last will and testament is.
Source: old.sermitsiaq.ag
Maryland Will Sample - Designed for residents of maryland, this free last will and testament is made for use in montgomery county, prince george's county, baltimore county, and in every other. Maryland last will and testament of _____ i, _____, resident in the city of _____, county of _____, state of maryland, being of sound mind, not. A maryland last will and testament is.
Source: dl-uk.apowersoft.com
Maryland Will Sample - The document appoints a personal. A maryland last will and testament is a legal document in which an individual, known as a testator,. I, _____, resident in the city of _____, county of _____, state of maryland. Maryland last will and testament template. A person who creates a will is known as a.
Source: livingwillforms.org
Maryland Will Sample - A maryland last will and testament is an enforceable record of a person’s desires for the distribution of their property after they die. Designed for residents of maryland, this free last will and testament is made for use in montgomery county, prince george's county, baltimore county, and in every other. Maryland last will and testament of _____ i, _____, resident.
Source: www.uslegalforms.com
Maryland Will Sample - Designed for residents of maryland, this free last will and testament is made for use in montgomery county, prince george's county, baltimore county, and in every other. Maryland last will and testament of _____ i, _____, resident in the city of _____, county of _____, state of maryland, being of sound mind, not. I, _____, resident in the city of.
Source: www.uslegalforms.com
Maryland Will Sample - A person who creates a will is known as a. Maryland last will and testament of _____ i, _____, resident in the city of _____, county of _____, state of maryland, being of sound mind, not. A maryland last will and testament is an enforceable record of a person’s desires for the distribution of their property after they die. A.
Source: last-will-testament-sample-maryland.pdffiller.com
Maryland Will Sample - Maryland last will and testament of _____ i, _____, resident in the city of _____, county of _____, state of maryland, being of sound mind, not. I, _____, resident in the city of _____, county of _____, state of maryland. A maryland last will and testament is an enforceable record of a person’s desires for the distribution of their property.
Source: www.heritagechristiancollege.com
Maryland Will Sample - A maryland last will and testament is a legal document in which an individual, known as a testator,. Maryland last will and testament of _____ i, _____, resident in the city of _____, county of _____, state of maryland, being of sound mind, not. The document appoints a personal. I, _____, resident in the city of _____, county of _____,.
Source: old.sermitsiaq.ag
Maryland Will Sample - A maryland last will and testament is an enforceable record of a person’s desires for the distribution of their property after they die. Maryland last will and testament template. The document appoints a personal. A maryland last will and testament conveys the testator’s wishes for how their assets should be distributed following their death. Designed for residents of maryland, this.